Friday, 14 January 2022

Prefinal examination answer sheets paper -1

 This is an online E log book to discuss our patient's de-identified health data shared after taking his/her/guardian's signed informed consent.Here we discuss our individual patient's problems through series of inputs from available global online community of experts with an aim to solve those patient's clinical problems with collective current best evidence based inputs". This E log book also reflects my patient-centred online learning portfolio and your valuable comments on comment box is welcome. 

THE BELOW ARE THE SCANNED IMAGES OF THE ANSWER SHEET OF  PRE-FINAL EXAMINATION CONDUCTED ON 3RD AND 4TH JANUARY 2022

PREFINAL EXAMINATION PAPER 1 

DATE :3RD JAN'22 

1)Define AKI? Etiology and clinical features of AKI             writebrief note on diagnosis and treatment of AKI

Ans;.                                                                                            





2)what are types of DM . Diagnosis of DM . treatment of type 1 and type 2 DM.
Ans;





3)
write a brief note on pneumonia
Ans;




4)write a short note on cholelithiasis 
Ans;



5) post streptococcal glomerulonephritis
Ans;



6) write a short note on hypopituitarism
Ans;


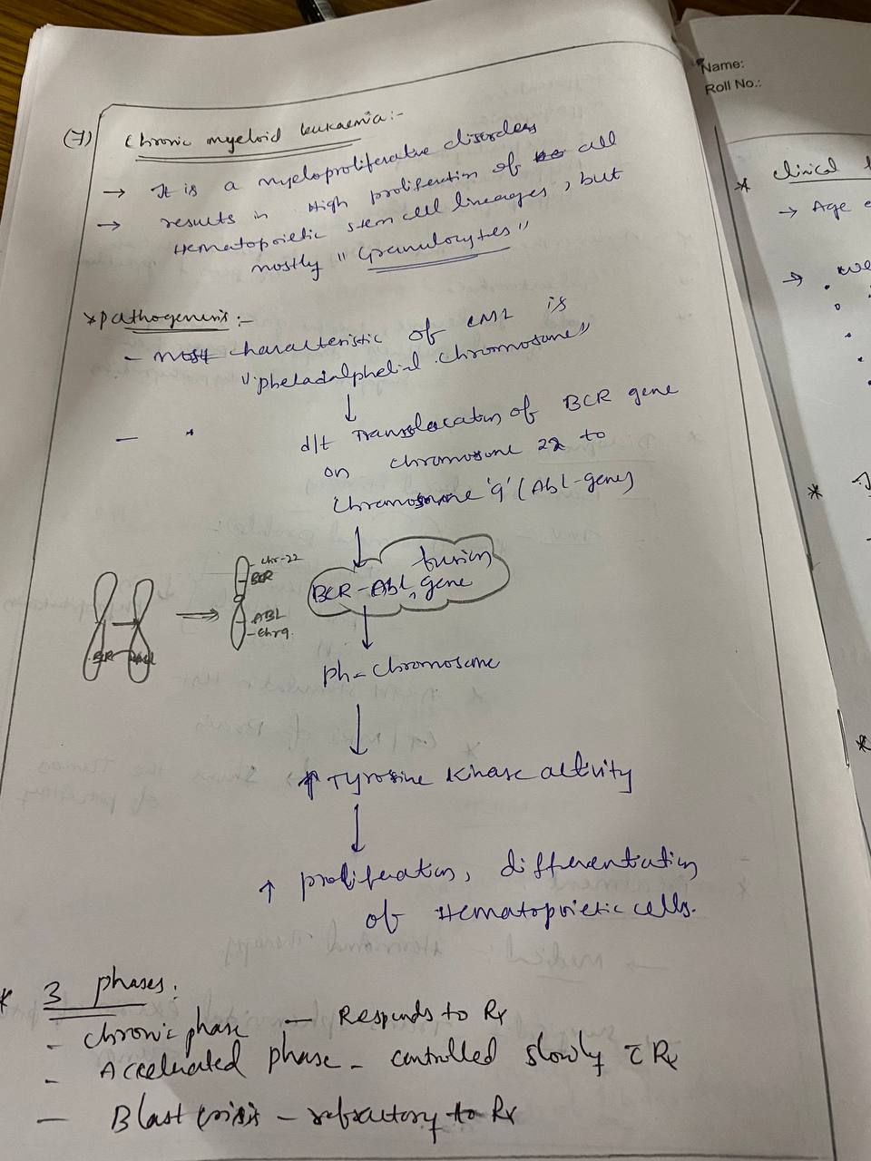
7) Chronic myeloid leukemia
Ans;



8) Hepatic encephalopathy and it's treatment








No comments:

Post a Comment